SEE 2081 Result Out Today: NEB Confirms 61.81% Pass Rate
Kathmandu: The results of the Secondary Education Examination (SEE) 2081 have been published. The National Examination Board, Class 10 Office, released the results on Friday. This year, 61.81% of students passed the exam. A total of 438,896 students appeared in SEE 2081, and out of them, 271,299 students passed.
Today, 13 Ashad 2082, the results of the Secondary Education Examination (SEE) 2081 have been officially published. The exams were held from Chaitra 7 to Chaitra 19, 2081, with students from community schools, private institutions, Gurukuls, Gumbas, and Madrasas across the country taking part.
How Many Students Got What GPA?
Out of 438,896 regular examinees, students were classified into the following GPA ranges:
- GPA 1.60 – 2.00: 8 students
- GPA 2.00 – 2.40: 4,126 students
- GPA 2.40 – 2.80: 48,479 students
- GPA 2.80 – 3.20: 89,124 students
- GPA 3.20 – 3.60: 81,385 students
- GPA 3.60 – 4.00: 48,177 students
- Ungraded (did not meet minimum marks): 167,597 students
- Exam Cancelled → 126 students
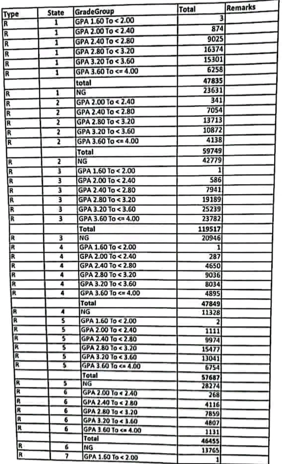
Which Province Got the Most Top Scores?
Here’s how many students in each province scored between GPA 3.60 and 4.00:
- Koshi Province: 6,258 students
- Madhesh Province: 4,138 students
- Bagmati Province: 23,782 students
- Gandaki Province: 4,895 students
- Lumbini Province: 6,754 students
- Karnali Province: 1,131 students
- Sudurpaschim Province: 1,219 students
Total Examinees
A total of 514,071 students appeared in SEE 2081. Here’s the breakdown:
- Regular Examinees:
- Boys: 211,857
- Girls: 209,705
- Others: 23
- Total: 421,585
- Grade Improvement Examinees:
- Boys: 34,570
- Girls: 40,962
- Others: 7
- Total: 75,539
- Technical Stream Examinees:
- Boys: 9,848
- Girls: 7,063
- Total: 16,947
Final Thoughts:
More than two-thirds of students passed SEE this year, which is a big achievement. Bagmati Province had the highest number of top scorers, while many students from other provinces also did well. However, the number of ungraded students is still high, which shows we need to improve learning support across the country.
Stay tuned for more updates on SEE result analysis, re-totaling process, and how to choose the right stream for Grade 11.
How to Check SEE Results Online (Website List) via SMS & IVR
Answer Sheet Checking & Coordination
After the exams were over, some challenges arose during the answer sheet evaluation and review. However, with active effort, the task was completed on time.
To carry out answer sheet evaluation, 50 correction centers were established. All Education Development Directorates and Education Coordination Units gave their full cooperation.
We also received positive feedback and helpful suggestions from teachers, parents, and other stakeholders involved in the exam process.
The entire process was guided and facilitated by the National Examination Board (NEB) and the Ministry of Education, Science, and Technology.
Special thanks to all the staff and security personnel at the Grade 10 Examination Control Office who worked day and night to ensure everything went smoothly.




